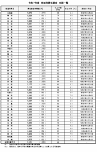
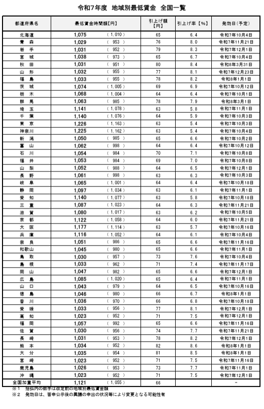
令和7年最賃Screenshot_1